
6月5日,上交所官网显示,易思维(杭州)科技股份有限公司(下称“易思维”)在科创板上市的首发申请获上交所受理,保荐机构为国投证券。易思维为上交所六月受理的首家科创板IPO企业,也是今年受理的第四家科创板IPO企业。
招股书显示,易思维专注于汽车制造机器视觉设备的研发、生产及销售,属于“高端装备领域”。根据弗若斯特沙利文的统计,2024年度公司在中国汽车制造和汽车整车制造机器视觉市场的市占率分别达到13.7%和22.5%,均位居行业第一。
深耕机器视觉
易思维专注于汽车制造机器视觉设备的研发、生产及销售,为汽车整车及零部件制造过程的各工艺环节提供机器视觉解决方案, 是该领域国内市占率第一的国家重点“小巨人”企业。

机器视觉产业链包括上游核心部件、中游视觉系统与解决方案、下游行业应用集成与服务。易思维以实现应用场景落地为牵引,设计系统解决方案,进而自主研制充分适配该场景的视觉传感器、视觉算法和应用软件。因此,公司所从事业务覆盖了机器视觉产业链的上、中、下游。
“含科量”方面,在发展过程中,易思维形成了视觉传感器研制、视觉系统构建、视觉工艺融合三大核心技术群、22项核心技术模块。截至2024年12月31日,公司已获得国内外授权发明专利192项,软件著作权108项,其中189项发明专利及全部软件著作权已投入公司产品应用。
产品方面,经过多年深耕发展,易思维已研发了十余款产品,实现面向冲压、焊装、涂装、总装、电池、压铸六大工艺环节的大规模及系统化应用。
截至2024年末,易思维产品已批量应用在一汽-大众、上汽大众、广汽丰田、上汽通用、北京奔驰等主流合资品牌,比亚迪、江淮、奇瑞、广汽、东风等传统自主品牌,零跑、蔚来、理想、小米、小鹏等新势力品牌,以及海斯坦普、卡斯马、本特勒、拓普、华翔、汇众等国内外知名汽车零部件企业。近几年,公司产品还出口应用在B公司、沃尔沃、Rivian等国际车企的全球主要工厂,同时应用在比亚迪、奇瑞等国产头部车企的海外工厂。
在比亚迪2024年度提供给线体集成商的设备采购品牌清单中,易思维是机器视觉产品类别中唯一入选的中国企业;在沃尔沃全球设备采购名录中,易思维于2022年成为在线涂胶质量检测产品唯一入选的中国企业,并被列为其欧洲、亚太、美洲三大区域采购的首选品牌。
净利润年均复合增长率
为295.66%
招股书显示,易思维此次选择的具体上市标准为“预计市值不低于人民币10亿元,最近两年净利润均为正且累计净利润不低于人民币5000万元”。
业绩方面,2022年至2024年,易思维营业收入分别为2.23亿元、3.55亿元和3.92亿元,年均复合增长率为32.59%;净利润分别为538.69万元、5774.67万元和8433.17万元,年均复合增长率为295.66%。

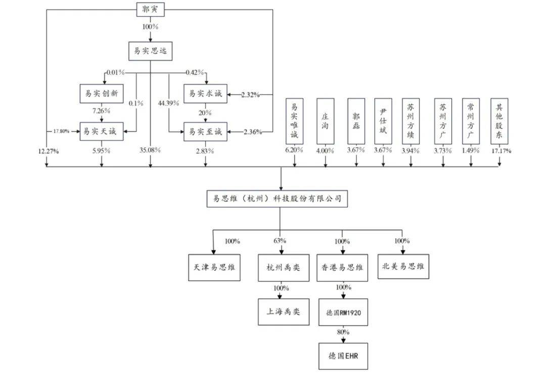
股权方面,实际控制人郭寅直接持有易思维12.27%股份,通过实际控制易实思远、易实天诚、易实至诚分别间接控制公司35.08%股份、5.95%股份、2.83%股份,合计控制公司56.13%股份。
此次IPO,易思维拟募集资金12.14亿元,用于机器视觉产品产业化基地项目、机器视觉研发中心项目及补充流动资金。
易思维表示,通过本次上市,公司将积极响应国家战略与产业政策导向,持续加大研发投入,深化核心技术攻关,完善覆盖汽车制造全工艺环节的机器视觉产品矩阵。
作者:孙小程