相对论,教科书上写的是爱因斯坦,但打开公式,看到的是洛伦兹变换和闵可夫斯基时空。就连 E=mc² 的雏形,也在他之前被哈斯诺尔等人以辐射质量形式零星涉及过
这不是一个人发现的理论,这是一个思想完成的跃迁。洛伦兹、庞加莱、麦克斯韦、希尔伯特,他们都铺了路,但只有爱因斯坦,完成了最后那一步,把数学技巧升格为物理真理。
故事从麦克斯韦开始。他发现光就是电磁波,而且传播速度可以从两个常数算出。但一个问题马上冒出来:光的速度,是相对于谁?

牛顿力学说,没有绝对速度,只有相对运动。但麦克斯韦方程看起来不认同。如果一个带电粒子在电磁场中运动,洛伦兹力要用速度计算,而这个速度,似乎必须是绝对的。
物理界于是造出了“以太”这种看不见摸不着的背景物质,设定光在其中传播,电磁场在其中变化。这样,速度有了参照,理论闭合了。
但很快,以太就陷入了麻烦。迈克耳孙-莫雷实验测不到地球绕以太运动的痕迹,速度二阶的干涉项为零。最精密的测量,居然得出了“静止”这个荒谬结论。以太,居然对任何运动都“无感”。
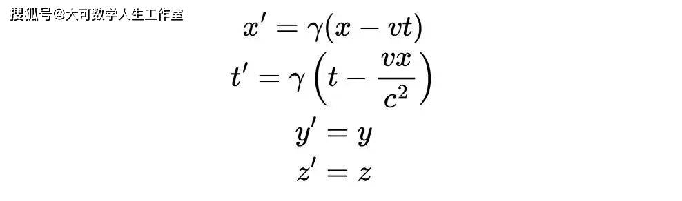
洛伦兹不甘心。他在1892年提出运动电子理论,引入变换方程修补麦克斯韦方程,解释观测结果。但他的“变换”只是近似,只适用于低速运动。而为了让迈克耳孙-莫雷实验成立,他不得不引入“尺缩”,也就是运动方向上物体的物理收缩,解释干涉条纹不变。

其中,

这些变换今天被称为“洛伦兹变换”,但当年,洛伦兹自己并不理解它的真正含义。他认为时钟走得慢是被以太影响,物体变短是被以太压缩。他从未质疑“以太”这个前提。
庞加莱走得更远。他意识到这些变换构成一个“群”,也就是说,两次变换叠加后,仍是一个变换,且可逆。这意味着,不存在优先参考系。你认为你在动,我也可以说你在静,谁都没有绝对权威。
这击中了以太的根基。如果所有坐标系都等价,那么以太这个“绝对静止”参照物根本就无法定义。庞加莱因此提出了“相对性原理”:物理规律在所有惯性系中都一样。不只是力学,包括电磁学。
但庞加莱仍然保留了以太。他只是承认,我们无法探测它。
洛伦兹提出的“变换”只是数学技巧。庞加莱意识到了其对称性和哲学冲击。但他们都没敢迈出最后一步:把以太扔掉。
这个最后一步,是爱因斯坦干的。
1905年,爱因斯坦在《论动体的电动力学》一文中,提出了两个公设:一切惯性系中物理规律相同;光速在真空中为常数,不依赖于光源的运动状态。
这两个看似无法调和的假设,被他直接拿来当作理论出发点。他不再从电磁场的结构出发,而是从测量的可操作性出发:我们测到什么,我们写什么。
于是,洛伦兹变换,不再是“以太干涉下的形变”,而是时空结构的几何对称性。时间膨胀、尺缩、同步失效,不再是“看起来像”,而是“真的如此”。
这不是修修补补的技术处理,这是一次彻底的观念改造。时空,不再是背景舞台,而是可以变形、扭曲、受速度影响的结构体。
麦克斯韦方程不需要以太,光速不需要介质,变换不需要手工加入的形变量。所有这些混乱,在两条公设之下自洽而来。
有人说,庞加莱其实也想到了这些。确实,他在1905年也提交了论文,说出了类似内容。但全文发表于1906年,且内容并未明确抛弃以太。
而且,爱因斯坦在瑞士专利局工作,并无即时获取法国学术杂志的渠道。他的论文完全不引用洛伦兹,也不引用庞加莱。这不是抄袭,这是一次独立的突破。
而且更关键的,不是变换方程谁先写出,而是谁先理解它的含义。庞加莱仍然认为真实的时间只存在于以太参考系中。爱因斯坦直接否定这个“真实时间”的存在。
在他这里,时间和空间的绝对性是可以被实验推翻的近似,而不是神圣不可侵犯的公理。
这才是范式转移。
也是为什么,所有人都在研究“以太如何解释实验结果”,只有他反问一句:我们为什么要相信以太?
爱因斯坦没有发明一个新方程,他扔掉了一个旧信仰。
来自:老胡科学